苏州俞氏药业有限公司
Suzhou Yushi Pharmaceutical Co., Ltd.
综合性制药公司
生产中成药制剂与化学药制剂为一体
产品介绍
PRODUCTS
西药产品
YUSHI Pharmaceutical
阿奇霉素颗粒



【药品名称】
通用名称:阿奇霉素颗粒
英文名称:Azithromycin Granules
汉语拼音:Aqimeisu Keli
【成份】
本品主要成份为阿奇霉素。
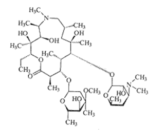
化学名称:2R,3S,4R,5R,8R,10R,11R,12S,13S,14R)-13-[(2,6-二脱氧-3-C-甲基-3-O-甲基-α-L-核-己吡喃糖基)氧]-2-乙基-3,4,10-三羟基-3,5,6,8,10,12,14-七甲基-11-[[3,4,6-三脱氧-3-(二甲氨基)-β-D-木-己吡喃糖基]氧] –1-氧杂-6-氮杂环十五烷-15-酮。
化学结构式:
分子式:C38H72N2O12
分子量:749.00
【性状】
本品为混悬颗粒,味甜。
【适应症】
1、 化脓性链球菌引起的急性咽炎、急性扁桃体炎。
2、 敏感细菌引起的鼻窦炎、中耳炎、急性支气管炎、慢性支气管炎急性发作。
3、 肺炎链球菌、流感嗜血杆菌以及肺炎支原体所致的肺炎。
4、 沙眼衣原体及非多种耐药淋病奈瑟菌所致的尿道炎和宫颈炎。
5、 敏感细菌引起的皮肤软组织感染。
【产品包装规格】 1g/袋×6袋/盒 1g/袋×8袋/盒
【用法用量】
将本品倒入杯中,加入适量凉开水,溶解摇匀后口服,在饭前1小时或饭后2小时服用。
成人用量:①沙眼衣原体或敏感淋病奈瑟菌所致性传播疾病,仅需单次口服本品1.0g(10袋);②对其他感染病的治疗:第1日,0.5g(5袋)顿服,第2~5日,一日0.25g(2.5袋)顿服;或一日0.5g(5袋)顿服,连服3日。
小儿用量:
①治疗中耳炎、肺炎,第1日,按体重10mg/kg顿服(一日最大量不超过0.5g), 第2~5日,每日按体重5mg/kg顿服(一日最大量不超过0.25g)或按如下方法给药:
|
体重(kg) |
首 日 |
第2~5日 |
|
15~25 |
0.2g顿服 |
0.1g顿服 |
|
26~35 |
0.3g顿服 |
0.15g顿服 |
|
36~45 |
0.4g顿服 |
0.2g顿服 |
②治疗小儿咽炎、扁桃体炎,一日按体重12mg/kg顿服(一日最大量不超过0.5g),连用5日。或遵医嘱。
【不良反应】
(一) 临床试验经验
由于临床试验在不同的条件下完成,在临床试验中观察到的一种药物的不良反应率不能直接和其他药物在临床试验中的不良反应率相比较,且未必反映在实际应用中的不良反应率。
阿奇霉素静脉制剂治疗社区获得性肺炎的临床试验中,静脉给药2~5个剂量,所报道的不良反应多数为轻至中度,且停药后可恢复。这些临床试验中多数患者有一种以上合并症,并需应用其他药物。约1.2%用本品静脉制剂的患者中止用药,2.4%采用静脉或口服阿奇霉素治疗的患者因出现不良反应症状或实验室检查异常而中止用药。
在盆腔炎性疾病患者中进行的临床试验中,接受阿奇霉素单药治疗的女性患者静脉给药1~2个剂量后,2%患者因临床不良反应而停药,阿奇霉素与甲硝唑合用的患者中4%的患者因不良反应而中止治疗。
以上研究中,导致停药最常见的不良反应为胃肠道反应(腹痛、恶心、呕吐、腹泻等)和皮疹,导致停药的实验室检查异常主要为氨基转氨酶和/或碱性磷酸酶升高。
在社区获得性肺炎的研究中,成年患者接受本品静脉/口服制剂治疗后最常见的不良反应为胃肠道反应,其中腹泻或稀便(4.3%),恶心(3.9%),腹痛(2.7%),呕吐(1.4%)。约12%的患者发生与静脉注射相关的不良反应,最常见者为注射部位疼痛(6.5%)和局部炎症反应(3.1%)。
在盆腔炎性疾病患者的临床试验中,成年女性患者接受本品静脉/口服制剂治疗,与治疗相关的最常见不良反应也是胃肠道反应,其中常见的为腹泻(8.5%)和恶心(6.6%),其次为阴道炎(2.8%)、腹痛(1.9%)、厌食(1.9%)、皮疹和瘙痒(1.9%)。这些研究中阿奇霉素与甲硝唑合用时,更高比例的女性患者发生恶心(10.3%)、腹痛(3.7%)、呕吐(2.8%)、给药部位反应、口炎、头晕和呼吸困难(共1.9%)。
阿奇霉素静脉/口服多剂给药治疗方案引起的其他不良反应均不超过1%。
发生率不超过1%的不良反应有:
胃肠道反应:消化不良、腹胀,粘膜炎、口腔念珠菌病和胃炎。
神经系统:头痛、嗜睡。
变态性反应:支气管痉挛。
特殊感觉:味觉倒错。
(二) 上市后应用的经验
口服阿奇霉素制剂上市后应用于成人和/或儿童患者,有以下不良事件的报道,但不能肯定是否为阿奇霉素引起:
变态反应:关节痛、水肿、荨麻疹、血管神经性水肿。
心血管:心律失常包括室性心动过速,低血压、罕见QT间期延长和尖端扭转型室性心动过速。
胃肠道:厌食、便秘、消化不良、腹胀、呕吐/腹泻但极少引起脱水,伪膜性肠炎,胰腺炎,口腔念珠菌病,幽门狭窄以及罕见的舌变色。
全身反应:乏力、感觉异常、疲劳、不适和过敏性休克反应。
泌尿生殖系统:间质性肾炎、急性肾功能衰竭、阴道炎。
造血系统:血小板减少。
肝/胆:阿奇霉素上市后应用的经验中报道过与肝功能不全相关的不良反应。
神经系统:惊厥、头晕/眩晕、头痛、嗜睡、多动、神经质、激越及晕厥。
耳及迷路异常:耳聋、耳鸣、听觉损害、眩晕。
精神:攻击性反应和焦虑。
皮肤及附件:瘙痒,罕见的严重皮肤反应包括多形性红斑、Stevens Johnson综合征和中毒性表皮松解坏死症。
特殊感觉:听力障碍包括听力丧失、耳聋和/或耳鸣,也有味觉/嗅觉异常和/或丧失的报道。
实验室检查异常:
临床试验中所见显著异常的实验室检查(无论是否与药物有关)为:
发生率4%~6%:丙氨酸氨基转移酶(ALT)、天门冬氨酸氨基转移酶(AST)、肌酐升高。
发生率1%~3%:乳酸脱氢酶(LDH)、胆红素升高。
发生率低于1%:白细胞减少、中性粒细胞减少、血小板计数减少、血清碱性磷酸酶升高。
随访发现上述实验室检查异常为可逆性。
在750多例患者参加的阿奇霉素(静脉/口服)多剂给药临床试验中,不超过2%的患者因治疗相关性肝酶异常而停用阿奇霉素。
【禁 忌】
已知对阿奇霉素、红霉素、其他大环内酯类或酮内酯类药物过敏的患者禁用。以前使用阿奇霉素后有胆汁淤积性黄疸/肝功能不全病史的患者禁用。
警告
过敏反应
采用阿奇霉素治疗引起严重变态反应,包括血管神经性水肿、过敏性休克反应、皮肤反应,包括Stevens Johnson综合征及中毒性表皮坏死松解症等的报告非常少见。虽然罕见,但有死亡的报道。某些患者出现过敏症状时,起初给予对症治疗有效,若过早停止治疗,即使未再用阿奇霉素,过敏症状仍可迅速复发。对这类患者需延长对症治疗和观察的时间。目前尚不知这些事件的发生是否与阿奇霉素在组织中的半衰期长因而机体暴露于抗原的时间较长有关。
如发生变态反应,应立即停药并给予适当的治疗。医生应知道,停止对症治疗后,过敏症状可能再次出现。
肝毒性
曾有肝功能异常、肝炎、胆汁淤积性黄疸、肝坏死以及肝衰竭的报道,其中某些病例可能致死。如果出现肝炎症状和体征,应立即停止使用本品。
难辨梭菌相关性腹泻
几乎所有抗菌药物的应用都有难辨梭菌相关性腹泻(CDAD)的报告,其中包括本品,其严重程度可表现为轻度腹泻至致死性结肠炎。抗菌药物治疗可引起结肠内正常菌群的改变,导致难辨梭菌的过度繁殖。
难辨梭菌产生的毒素A和毒素B与CDAD的发病有关。高产毒的难辨梭菌导致发病率和死亡率升高,这些感染可能难以用抗菌药物治疗,可能需要结肠切除术。对于所有使用抗生素后出现腹泻的患者,必须考虑到CDAD的可能。由于曾经有给予抗菌药物治疗超过2个月后发生CDAD的报道,因此需仔细询问病史。
如果怀疑或确诊CDAD,可能需要停用正在使用的并非针对难辨梭菌的抗生素。必须根据临床需要适当补充水、电解质和蛋白质,并给予对难辨梭菌有效的抗生素,必要时进行手术评估。
【注意事项】
一般事项:由于阿奇霉素主要经肝脏清除,故肝功能损害的患者应慎用阿奇霉素。GFR <10 mL/min的受试者的资料有限,这类患者也应慎用阿奇霉素。曾有肝功能异常、肝炎、胆汁淤积性黄疸、肝坏死和肝衰竭的报道,其中某些病例可能致死。如果出现肝炎的体征和症状,应立即停用阿奇霉素。
本品应按说明书溶解和稀释,静脉滴注的时间不能少于60分钟。
有报道静脉应用阿奇霉素时注射局部可出现不良反应。给予阿奇霉素500mg,配制成浓度2mg/ml,250ml的溶液在1小时内滴完或配成1mg/ml,500ml的溶液在3小时内滴完。注射局部不良反应的发生率和严重程度均相似。所有接受阿奇霉素药液浓度大于2.0 mg/ml的志愿者均出现注射局部反应,所以静滴时的药液浓度不能太高。
QT间期延长
有报道,应用其他大环内酯类抗生素包括阿奇霉素可引起心室复极化和QT间期延长,从而有发生心律失常和尖端扭转型室性心动过速的风险。在对使用阿奇霉素患者的上市后监测中,有尖端扭转型室性心动过速案例的自发性报告。在权衡高危人群使用阿奇霉素的风险和获益时,医疗卫生保健人员应考虑可能致命的QT间期延长的风险,高危人群包括:
• 已知有QT间期延长、尖端扭转型室性心动过速病史、先天性QT间期延长综合征、缓慢性心律失常或失代偿性心力衰竭的患者。
• 服用已知可延长QT间期药物的患者,如抗精神病药物、抗抑郁药物和氟喹诺酮类药物治疗的患者。
• 处于致心律失常状态的患者,如未纠正的低钾血症或低镁血症、有临床意义的心动过缓,以及正在接受IA型(奎尼丁、普鲁卡因胺)和Ⅲ型(多非利特、胺碘达隆、索他洛尔)抗心律失常药物的患者。
• 老年患者:老年患者可能对药物相关的QT间期影响更为敏感。
阿奇霉素治疗的患者中曾有重症肌无力症状加重或新发肌无力综合征的报告。
在未确诊或并非高度怀疑细菌感染,或无预防指征的情况下,使用本品可能对患者无益,还会增加耐药菌产生的风险。
患者需知:
出现任何变态反应征象时,应立即停用阿奇霉素,并与医生联系。
患者应被告知抗菌药物包括本品 (阿奇霉素)只能用于治疗细菌感染,不能用于治疗病毒感染(例如普通感冒)。使用本品 (阿奇霉素) 治疗细菌感染时,必须告知患者虽然通常治疗初期会感觉好转,仍应当按照医师指导精确服药。漏服或未完成整个疗程可能会:(1)降低当前治疗的疗效;(2)增加细菌耐药的可能性,将导致将来阿奇霉素或其他抗菌药物无法治疗这些耐药菌。
抗生素治疗常常可引起腹泻,停用抗生素后通常可恢复。有时给予抗生素治疗后,患者甚至在最后1次用抗生素后2个月或更久后出现水样便或血性便(伴或不伴胃痉挛和发热)。如果出现这种情况,患者应尽快与医生联系。
【孕妇及哺乳期妇女用药】
动物实验显示本品对胎儿无影响,但在人类孕妇中应用尚缺乏经验,故在孕妇中应用须充分权衡利弊。尚无资料显示本品是否可分泌至母乳中,故哺乳期妇女应用须谨慎考虑。
【儿童用药】
无论何种感染,建议阿奇霉素在儿童中的总剂量最高不过1500mg。
阿奇霉素颗粒用于体重大于45kg的儿童时,用法用量同成人。
治疗小于6个月小儿中耳炎、社区获得性肺炎及小于2岁小儿咽炎或扁桃体炎的疗效与安全性尚未确定。
【老年用药】
未进行该项试验,且无可靠临床参考文献。
【药物相互作用】
药物相互作用:那非那韦稳态时,联合使用单剂阿奇霉素口服,可使阿奇霉素血清浓度升高。虽然与那非那韦合用时无需调整阿奇霉素的剂量,但必须密切监测阿奇霉素已知的副作用如肝酶异常和听力损害。
自发性上市后报告提示合并使用阿奇霉素可能增强口服抗凝药的作用。患者合并使用阿奇霉素和口服抗凝药物时,应严密监测凝血酶原时间。
按治疗剂量使用时,阿奇霉素对阿托伐他汀、卡马西平、西替立嗪、去羟肌苷、依法韦仑、氟康唑、茚地那韦、咪达唑仑、利福布丁、西地那非、茶碱(静脉和口服给药)、三唑仑、甲氧苄啶/磺胺甲基异噁唑或齐多夫定的药代动力学的影响不大。合用时,依法韦仑或氟康唑对阿奇霉素的药代动力学影响不大。阿奇霉素与上述任何药物合用时,无需调整任一药物的剂量。
临床试验中尚未报道过阿奇霉素与以下药物有相互作用。然而迄今未进行专门的研究评价阿奇霉素与这些药物之间潜在的相互作用。但应用其他大环内酯类药物时曾出现这些情况。因此,在尚无新的研究数据时,阿奇霉素与以下药物合用时宜对患者进行严密观察:
地高辛—地高辛的血浓度升高。
麦角胺或双氢麦角胺-急性麦角中毒,表现为严重外周血管痉挛和感觉迟钝。
特非那定、环孢霉素、海索比妥和苯妥英浓度升高。
对实验室检查的影响:未见对实验室检查结果有影响的报道。
【药物过量】
未进行该项试验,且无可靠临床参考文献。
【药理毒理】
药理作用 阿奇霉素为氮杂内酯类抗生素,其作用机理是通过与敏感微生物的50s核糖体的亚单位结合,从而干扰其蛋白的合成(不影响核酸的合成)。
体外试验和临床研究均表明,阿奇霉素对以下多种致病菌有效:
革兰阳性需氧微生物:金黄色葡萄球菌、酿脓链球菌、肺炎链球菌、溶血性链球菌。
阿奇霉素对于耐红霉素的革兰阳性菌有交叉耐药性。大多数粪链球菌(肠球菌)以及耐甲氧西林的葡萄球菌对阿奇霉素耐药。
革兰阴性需氧微生物:流感嗜血杆菌、卡他摩拉菌。
其他微生物:沙眼衣原体。
体外试验和临床研究已证实,阿奇霉素可预防鸟胞内支杆菌复合体(由鸟胞内分支杆菌和胞内分支杆菌组成)引起的疾病。
细菌产生的β-内酰胺酶不影响阿奇霉素的活性。
对以下微生物已有体外研究结果,但是其临床意义尚不清楚,包括链球菌属(C、F、G)、草绿色链球菌、百日咳杆菌、空肠弯曲杆菌、杜克嗜血杆菌、嗜肺性军团菌、双路普雷沃氏菌、产气荚膜梭菌、消化链球菌属、包柔螺旋体、肺炎支原体、梅毒螺旋体、解脲支原体等。
毒理研究
遗传毒性:人淋巴细胞试验、小鼠骨髓微核试验和小鼠体外淋巴瘤细胞试验的结果阿奇霉素未表现出致突变作用。
生殖毒性:大鼠和小鼠的生殖毒性试验均表明,当阿奇霉素(经口给药)剂量达产生中等程度的母体毒性的剂量水平(即200mg/kg/日,按体表面积计算,约为人用药剂量500mg/kg/日的2-4倍)时,未发现致畸胎作用。
尚未发现对生育力和胎儿的损害。目前尚无在妊娠妇女中进行充分的和严格对照的临床试验。由于动物生殖研究的结果并不总是能预测人的情况,因此,只有在确实必要时,孕妇才能使用本品。尚不知本品是否在人乳中分泌,由于许多药物经人乳汁分泌,因此哺乳期的妇女在使用时应注意。
致癌性:尚无有关本品动物长期用药的致癌性研究资料。
【药代动力学】
口服后迅速吸收,生物利用度为37%。单剂口服0.5g,达峰时间为2.5~2.6小时,血药峰浓度(Cmax)为0.4~0.45mg/L。本品在体内分布广泛,在各组织内浓度可达同期血浓度的10~100倍,在巨噬细胞及纤维母细胞内浓度高,前者能将阿奇霉素转运至炎症部位。本品单剂给药后的血消除半衰期(t1/2β)为35~48小时,给药量的50%以上以原形经胆道排出,给药后72小时内约4.5%以原形经尿排出。本品的血清蛋白结合率随血药浓度的增加而减低,当血药浓度为0.02μg/ml时,血清蛋白结合率为15%;当血药浓度为2μg/ml时,血清蛋白结合率为7%。国外资料显示,轻中度肾功能不全者(肾小球滤过率为10~80ml/min)药代参数无明显变化,严重肾功能不全者(肾小球滤过率小于10ml/min)与正常者有显著差异,全身暴露量增加33%。
【贮藏】密封,在干燥处保存。
【包装】铝塑复合膜装,1g/袋×3袋/盒,1g/袋×4袋/盒,1g/袋×5袋/盒,1g/袋×6袋/盒,1g/袋×8袋/盒,
1g/袋×12袋/盒。
【有效期】 24个月。
【执行标准】《中国药典》2010年版二部
【批准文号】国药准字H20066661
【生产企业】
企业名称:苏州俞氏药业有限公司
生产地址:江苏省常熟市辛庄南湖工业区南湖大道188号
邮政编码:215563
电话和传真号码:0512-52445308